這幾種情況使用二氯甲烷(DCM)作為溶劑可能會“砸”了反應,“帶”來危險
做合成離不開溶劑的參與,你可能會說無溶劑反應,這類反應后處理也是需要溶劑參與的。溶劑在合成中既可以作為反應的媒介,重結晶或打漿的媒介,還可以作為萃取的媒介等等。在有機合成中,有一個“寵兒”溶劑,那就是二氯甲烷,很多試劑在二氯甲烷中都有良好的溶解性,由于沸點較低,反應結束后后處理和旋蒸也比較方面。此外,它的極性適中,也是一類很好的點板和柱層析的洗脫劑。

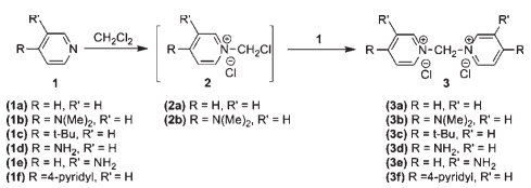
然而,正是由于它的討喜性,很多合成人員都選擇用它。導致它的一些負面影響報道的很少。這里小編重點介紹一下一篇較早的JOC文獻(J. Org. Chem.2010,75,4292–4295),文獻重點描述了二氯甲烷與吡啶及其衍生物的反應。作者做了如下圖所示的實驗,10%的吡啶二氯甲烷溶液,狀態隨著靜置時間的變化,從外觀可以看出,隨著時間的不斷推移,溶液體系里面會析出很多的固體。很明顯,吡啶與二氯甲烷發生了反應。

作者提出了反應的可能機理,由于吡啶氮雜原子具有孤對電子,使其具有親核性,與二氯甲烷進行兩次親核取代反應,得到二吡啶甲烷鹽酸鹽。因此,各位合成Chemist,當你的反應涉及到吡啶底物時,請謹慎使用二氯甲烷作為溶劑。

這個時候,你應該感到慶幸,如果你做的反應或后處理涉及到疊氮化物,如疊氮化鈉時,那么這個時候如果你是用了二氯甲烷,根據上面的機理會生成什么?危險性不言而喻,相信很多公司的安全培訓都有講過,疊氮化鈉是禁止與多鹵代烷烴接觸的。

最近,在某著名貼吧看到,他用伯胺和仲胺兩種原料進行反應,由于沒有反應,遂向反應體系中加了二氯甲烷,第二天過來監測反應,產物沒檢測到,倒是在反應體系中出現了大量的白色晶體,后來分析很有可能是伯胺或仲胺與二氯甲烷的親核取代產物的鹽酸鹽。

